A cranked lever is a hand lever commonly used for operating hoisting winches. Usually, a Mechanical Lever is a rigid rod or bar capable of turning about a fixed point called a fulcrum. It is used as a machine to lift a load by the application of a small effort. Let us discuss more on how we can design a Cranked Lever for operating hoisting winches with the same mechanical lever principle.

History of Lever
In ancient Egypt circa 4400 BC, a foot pedal was used for the earliest horizontal frame loom. Another device that used the principle of the lever was the swape, or shaduf, a long lever pivoted near one end with a platform or water container hanging from the short arm and counterweights attached to the long arm. This device was used in Egypt and India for raising water and lifting soldiers over battlements as early as 1500 BC.

A balance beam for weighing, consisting of a bar pivoted at its center and weights that were hung on one end to balance the object being weighed on the other end, was probably used in Egypt around 5000 BC.
Introduction to Mechanical Lever
A lever is a rigid rod or bar capable of turning about a fixed point called a fulcrum. It is used as a machine to lift a load by the application of a small effort. The ratio of load lifted to the effort applied is called Mechanical Advantage.
Sometimes, a lever is merely used to facilitate the application of force in a desired direction. A lever may be straight or curved and the forces applied on the lever (or by the lever) may be parallel or inclined to one another. The principle on which the lever works is the same as that of moments.
Consider a straight lever with parallel forces acting in the same plane as shown in the following figure.

- The points A and B through which the load and effort are applied are known as load and effort points respectively.
- F is the fulcrum about which the lever is capable of turning.
- The perpendicular distance between the load point and fulcrum (l1) is known as the load arm.
- The perpendicular distance between the effort point and fulcrum (l2) is called the effort arm.
According to the principle of moments,

Mechanical Advantage

The ratio of the effort arm to the load arm i.e. l2 / l1 is called leverage.
A little consideration will show that if a large load is to be lifted by a small effort, then the effort arm should be much greater than the load arm. In some cases, it may not be possible to provide a lever with a large effort arm due to space limitations.
Therefore in order to obtain great leverage, compound levers may be used. The compound levers may be made of straight pieces, which may be attached to one another with pin joints. The bell-cranked levers may be used instead of a number of jointed levers. In a compound lever, the leverage is the product of leverages of various levers.
Cranked Lever
A cranked lever, as shown in the following image. This Cranked Lever is a hand lever commonly used for operating hoisting winches.

The lever can be operated either by a single person or by two persons. The maximum force in order to operate the lever may be taken as 400 N and the length of the handle as 300 mm. In case the lever is operated by two persons, the maximum force of operation will be doubled and the length of the handle may be taken as 500 mm. The handle is covered in a pipe to prevent hand scoring. The end of the shaft is usually squared so that the lever may be easily fixed and removed.

The length (L) is usually from 400 to 450 mm and the height of the shaft center line from the ground is usually one meter. In order to design such levers, the following procedure may be adopted:
1. Diameter of the Handle
The diameter of the handle(d) is obtained from bending considerations.
It is assumed that the effort (P) applied on the handle acts at (2/3)rd of its length (l).
Maximum bending moment,

and section modulus,

∴ Resisting moment

Where σb = Permissible bending stress for the material of the handle.
Equating the resisting moment to the maximum bending moment, we have

From this expression, the diameter of the handle (d) may be evaluated. The diameter of the handle is usually proportioned as 25 mm for a single person and 40 mm for two persons.
2. Cross-section of the lever Arm
The cross-section of the lever arm is usually rectangular having uniform thickness throughout. The width of the lever arm is tapered from the boss to the handle.
The arm is subjected to a constant twisting moment, T = (2/3) × P × l
And a varying bending moment which is maximum near the boss. It is assumed that the arm of the lever extends up to the center of the shaft, which results in a slightly stronger lever.
∴ Maximum bending moment = P × L
Since, at present time, there is insufficient information on the subject of combined bending and twisting of rectangular sections to enable us to find equivalent bending or twisting, with sufficient accuracy, therefore the indirect procedure is adopted.
We shall design the lever arm for 25% more bending moment.
Maximum bending moment M = 1.25 P × L
Let
t = Thickness of the lever arm,
B = Width of the lever arm near the boss.
Section modulus for the lever arm, Z = 1/6 × t × B2
Now by using the relation, σb = M/Z, we can find t and B. The width of the lever arm near the boss is taken as twice the thickness i.e. B = 2 t.
After finding the value of t and B, the induced bending stress may be checked which should not exceed the permissible value.
3. Induced shear stress in Lever
The induced shear stress in the section of the lever arm near the boss is caused by the twisting moment, T = 2/3 × P × l may be checked by using the following relations:
For rectangular section

For the square section of side t

For elliptical section having major axis B and minor axis t

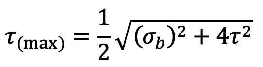
4. Maximum Principal or Shear Stress-Induced
Knowing the values of σb and τ, the maximum principal or shear stress-induced may be checked by using the following relations:
Maximum principal stress,

Maximum shear stress,

5. Diameter Of The Journal
Since the journal of the shaft is subjected to the twisting moment and bending moment, therefore its diameter is obtained from the equivalent twisting moment.
We know that twisting moment on the journal of the shaft,
T = P × L
and bending moment on the journal of the shaft,

where
x = Distance from the end of the boss to the center of the journal.
∴ Equivalent twisting moment,

We know that the equivalent twisting moment,

From this expression, we can find the diameter (D) of the journal. The diameter of the journal is usually taken as D = 30 to 40 mm, for a single person = 40 to 45 mm, and for two persons.
Additionally, we have already discussed different mechanical lever designs in the following articles. Check it out.
- Hand Lever (Hand Brake)
- Foot Lever (Brakes pedal, Foot pump Lever)
- Lever Safety Valve
- Bell Crank Lever
- Rocker Arm for Exhaust Valve
The above procedure may be used in the design of overhung cranks of engines.


Can you solve an Example problem to design the cranked lever?
Problem Statement: A cranked lever has a Length of the handle of 300mm, a Length of the lever arm of 400mm, Overhang of the journal of 100mm. If the lever is operated by a single person exerting a maximum force of 400 N at a distance of 1/3 rd length of the handle from its free end, Calculate the Diameter of the handle, the Cross-section of the lever arm, and the Diameter of the journal. Consider that the permissible bending stress for the lever material may be taken as 50 MPa and shear stress for shaft material as 40 MPa.
Let us know the answers in the comment section below, we will help you with the correct answers.

Leave a Reply