When we say common Cross-section properties, what we will think of? First of all Sectional area, Section modulus, the moment of inertia, and few other. The different cross-section properties for the different cross-sections such as circular, square, rectangular and trapezoidal and triangular are discussed briefly in this article.

First of all, we have to understand what the different properties of the cross-section, following are the different cross-section properties.
Different properties of Cross-Sections
- Area of Cross-section
- Moment of Inertia
- Polar moment of Inertia
- Section Modulus
- Radius of Gyration
These are the different properties of any cross sections. The different cross sections that we are going to discuss in this article are listed below.
- Circle
- Hallow Circle
- Rectangle
- Triangle
- Trapezoidal
- I-Section
- T- Section
- H-Section
1. Cross-Section Properties of Circle

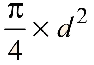
1. Area of Cross-section of a circular cross-section

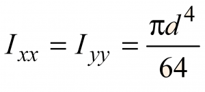
2. Moment of Inertia of a circular cross-section

3. Polar moment of Inertia of a circular cross-section

4. Section Modulus of a circular cross-section

5. The radius of Gyration of a circular cross-section

2. Cross-Section Properties of Hollow Circle

1. Area of Cross-section of a Hollow Circle

2. Moment of Inertia of a Hollow Circle

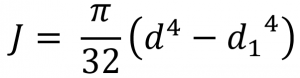
3. Polar moment of Inertia of a Hollow Circle

4. Section Modulus of a Hollow Circle

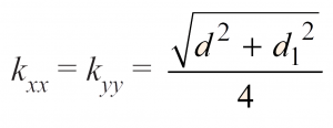
5. The radius of Gyration of a Hollow Circle

3. Cross-Section Properties of Rectangle

1. Area of Cross-section of a Rectangle

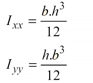
2. Moment of Inertia of a Rectangle

3. Polar moment of Inertia of a Rectangle

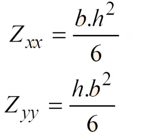
4. Section Modulus of a Rectangle

5. The radius of Gyration of a Rectangle

4. Cross-Section Properties of Triangle

1. Area of Cross-section of a Triangle

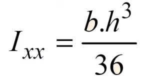
2. Moment of Inertia of a Triangle

3. Polar moment of Inertia of a Triangle

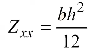
4. Section Modulus of a Triangle

5. The radius of Gyration of a Triangle

5. Cross-Section Properties of Trapezoidal

1. Area of Cross-section of a Trapezoidal

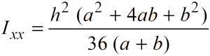
2. Moment of Inertia of a Trapezoidal

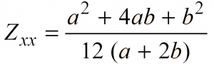
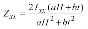
3. Section Modulus of a Trapezoidal

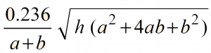
4. The radius of Gyration of a Trapezoidal

6. Cross-Section Properties of I-Section

1. Area of Cross-section of an I-Section

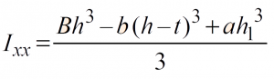
2. Moment of Inertia of an I-Section

3. Section Modulus of an I-Section

4. The radius of Gyration of an I-Section

7. Cross-Section Properties of T-Section

1. Area of Cross-section of a T-Section

2. Moment of Inertia of a T-Section

3. Section Modulus of a T-Section

4. The radius of Gyration of a T-Section

8. Cross-Section Properties of H-Section

1. Area of Cross-section of an H-Section

2. Moment of Inertia of an H-Section

3. Section Modulus of an H-Section

4. The radius of Gyration of an H-Section

These are the different properties of the different cross-section. Please comment below if you have any query.

Leave a Reply