When a body is subjected to a system of forces, then there will be a change in the volume of the body due to the stress acts on the body. Bulk modulus is the measure of resistibility to the external forces acting on the body. whereas Young’s modulus is stiffness in the body, whereas Rigidity modulus or Shear modulus is about the resistance to the shear failure. Let’s dig deep into the topic to understand in a more clear manner.

Bulk Modulus
When a body is subjected to the three mutually perpendicular forces of equal intensity, then there will be a change in the volume of the body due to these external forces. Therefore Bulk modulus is given by
“The ratio of the Stress acted on the body to the Volumetric strain in the body”
Bulk modulus is denoted by the “K“. As we said earlier the bulk modulus is a measure of the resistibility to the applied stress. A material having a bigger Bulk modulus that means it can withstand for more load applied to the body without deforming or very slowly deforming with respect to the applied load.
Mathematically, Bulk Modulus is given by

∴
σ = Stress
δV = Change in Volume due to three mutually perpendicular forces acted on the body
V = original Volume of the Body
Where volumetric strain is defined as the ratio of change in volume to the original volume. Mathematically it is given by

where ε linear strain
The relation between Bulk Modulus and Youngs Modulus
Young’s modulus is defined as the ratio of stress to strain. It describes the linear stress and strain whereas the bulk modulus defines the volumetric stresses and strain.
Youngs Modulus = Stress/ Strain
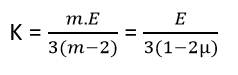
we have a mathematical relation between the Bulk modulus(K) and the Youngs modulus(E) is given by

Where μ = 1/m(Poisson’s ratio)
The relation between Young’s Modulus and Shear Modulus
Shear modulus/Modulus of Rigidity is the ratio of the shear stress to the shear strain.
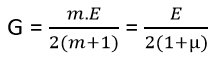
We have a mathematical relation between the Youngs Modulus(E) and the Shear Modulus(G)

Where μ = 1/m(Poisson’s ratio)
Conclusion
As we discussed these three modulus constants are the material properties which are the measurements of resistibility against the external force. The applied stress can be linear or volumetric or the shear.



Leave a Reply